Ю. П. Сурмин
| ↑ | Оглавление | ||
| ← | Вопросы и задания для самоконтроля | «Проблема организации системы» | → |
Внутреннее устройство системы представляет собой единство состава, организации и структуры системы. Состав системы сводится к полному перечню ее элементов, т. е. это совокупность всех элементов, из которых состоит система. Состав характеризует богатство, многообразие системы, ее сложность.
Природа системы во многом зависит от ее состава, изменение которого приводит к изменению свойств системы. Например, меняя состав стали при добавке в нее компонента, можно получить сталь с заданными свойствами. Состав как определенный набор частей, компонентов элементов составляет субстанцию системы.
Заметим, что состав — необходимая характеристика системы, но, отнюдь, не достаточная. Системы, имеющие одинаковый состав, нередко обладают разными свойствами, поскольку элементы систем: во-первых, имеют различную внутреннюю организацию, а во-вторых, по-разному взаимосвязаны. Поэтому в теории систем есть две дополнительные характеристики: организация системы и структура системы. Нередко их отождествляют.
Элементы представляют собой кирпичики, из которых строится система. Они существенно влияют на свойства системы, в значительной степени определяют ее природу. Но свойства системы не сводятся к свойствам элементов.
Элемент — это далее не разложимая единица при данном способе расчленения, входящая в состав системы. Наличие связей между элементами ведет к появлению в целостной системе новых свойств (эмерджентность), не присущих элементам в отдельности. В силу этого подмножества элементов системы могут рассматриваться как подсистемы (компоненты), что зависит от целей исследования. Следует подчеркнуть, что понятие «элемент» опирается на понятие «простота», под которой подразумевается свойство множества, выступающего в другом множестве как элемент. Однако отождествлять простоту и элементарность неправомерно. Развитие науки доказывает, что попытки сведения всех систем к элементарным образованиям носят временный характер. Всякий раз через некоторый период времени установленное и, казалось бы, незыблемое, элементарное оказывалось состоящим из более элементарного. Элементарность очень тесно связана с принципом неисчерпаемости материи — одним из фундаментальных принципов мироустройства. Для элементов системы характерны некоторые свойства.
Свойство — это вхождение вещи, элемента в некоторый класс вещей, когда не образуется новый предмет; характеристика, присущая вещам и явлениям, позволяющая отличать или отождествлять их.
Все элементы обладают двумя видами свойств: первое — это эле-ментальность при данном способе расчленения; второе, точнее группа свойств, — это свойства природы элементов. Речь идет о том, что для химических элементов свойственны валентность, атомные веса, для живых организмов — место в иерархии видов, активность, для человека — система ролей, статусов, ценностей, интересов и т.п.
Многое в системе зависит от типов элементов. Поэтому в теории систем значительную методологическую роль играет построение классификации элементов. Заметим, что этой проблеме в теории систем уделяется мало внимания: идея целостности, доминирующая в системном подходе, что называется «застилает глаза» и мешает видеть влияния природы элементов на природу системы. Поэтому вто-ричность элементов по сравнению с целым оказывается слабо исследованной. Интересную классификацию элементов дает В. А. Карташов [16, с. 313-315], которая представлена табл. 8.
| Название | Характеристика | Изображение |
|---|---|---|
| Упругий | Противостоит внешним воздействиям, однозначно передает воздействие по связи | |
| Рефлексивный | Обладает внутренним движением и осуществляет внутреннее преобразование по какому-либо алгоритму | |
| Потребитель | Воспринимает воздействие без образования направленного эффекта | |
| Источник | Образует направленный эффект в присутствии понуждающего внешнего воздействия | |
| Полирецепторный | Рефлексивный элемент, воздействует по нескольким направлениям | |
| Полиэффекторный | Рефлексивный элемент, образующий воздействия по нескольким направлениям при восприятии одного понуждающего воздействия | |
| Полиэлемент | Рефлексивный элемент, образующий воздействия по нескольким направлениям при условии восприятия нескольких внешних воздействий | |
| Полиисточник | Источник, образующий в данных неизменных условиях воздействия по нескольким направлениям | |
| Полипотребитель | Потребитель, воспринимающий воздействия по нескольким внешним связям |
Таблица 8 — Разновидности элементов по В. А. Карташову
По нашему мнению, элементы системы могут быть классифицированы по более многообразным основаниям: по степени родства — гомогенный и гетерогенный; по степени самостоятельности — программный, адаптивный, инициативный; по времени существования — постоянный, временный; по роли в системе — основной, неосновной; по активности в системе — активный, пассивный (табл. 9).
| Основание классификации | Элемент | |
|---|---|---|
| Тип | Характеристика | |
| Степень родства с другими элементами | Гомогенный | Однотипен с другими элементами |
| Гетерогенный | Разнотипен с другими элементами | |
| Степень самостоятельности элемента | Программный | Действует по жесткой программе |
| Адаптивный | Обладает способностью приспособления | |
| Инициативный | Обладает способностью изменять действительность | |
| Длительность существования | Постоянный | Отличается относительно длительным временем существования |
| Временный | Возникающий временно | |
| Временная принадлежность | Прошлого (атавизм) | Остался от прошлых этапов жизни системы |
| Настоящего | Характерен для настоящего времени существования системы | |
| Будущего | Свойственен для будущего данной системы (инновационный элемент) | |
| Роль в системе | Основной | Играет главную роль в системе |
| Неосновной | Играет второстепенную роль в системе | |
| Активность в системе | Активный | Воздействующий на процессы |
| Пассивный | Слабо воздействующий на процессы системы | |
| Характер воздействия на систему | Определенный или предсказуемый | Оказывает вполне определенное воздействие на систему |
| Неопределенный или непредсказуемый | Оказывает непредсказуемые воздействия на систему | |
| Характер восприятия сигнала | Отторгающий | Не воспринимает сигнал, нередко отражает его |
| Преобразующий | Преобразует поступивший на вход сигнал | |
| Передающий | Передает сигнал в том виде, в котором получил | |
| Число входов — выходов | С одним входом без выхода | Система получает сигналы, но не отдает их |
| С одним выходом без входа | Система отдает сигналы, но не получает их | |
| С одним входом и одним выходом | Система отдает и получает сигналы | |
| С несколькими входами и одним выходом | Система получает несколько сигналов, но отдает один сигнал | |
| С одним входом и несколькими выходами | Система получает один сигнал, но отдает несколько сигналов | |
| С несколькими входами и несколькими выходами | Система получает и отдает несколько сигналов | |
Таблица 9 — Классификация элементов системы
По характеру воздействия на систему: определенные или предсказуемые и неопределенные или непредсказуемые; по характеру восприятия сигнала — на отторгающие сигнал, преобразующие сигнал и передающие сигнал; по количеству входов-выходов — на элементы с одним входом без выхода, с одним выходом без входа, с одним входом и одним выходом, элементы с несколькими входами и одним выходом, с одним входом и несколькими выходами, элементы с несколькими входами и несколькими выходами.
Элементы в системе находятся не сами по себе, а связаны один с другим. Под связью понимается любого рода взаимоотношения между частями системы. Она выступает в виде качества, которое присуще материи и заключается в том, что все предметы, явления объективной действительности находятся в бесконечно многообразной зависимости и в многообразных отношениях [18, с. 524].
Связь — взаимное ограничение объектов, создающее ограничение на их поведение, зависимость между ними, обмен между элементами веществом, энергией, информацией. Связи играют исключительно важную роль в системе. На них ложится значительная смысловая нагрузка в понимании природы систем. Без них принципиально невозможна система. Это подметил А. И. Уемов: « Поскольку связь выступает в виде системообразующего отношения, то можно утверждать, что если предметы не существуют вне связи друг с другом, то они не существуют и вне соответствующей системы» [44, с. 133]. Связи выполняют в системе несколько функций, наиболее важные из них:
Проблема связей, как и проблема элементов, относится к числу недостаточно исследованных. Можно согласиться со В. Н. Спицна-делем в том, что предпринятые в литературе попытки прямо и сразу построить концепцию связи обнаружили относительно невысокую эффективность такого способа решения проблемы [39].
Классификация связей, предложенная И. В. Блаубергом, В. Н. Садовским, Э. Г. Юдиным, которые выделяют связи взаимодействия, порождения, преобразования, строения, функционирования, развития, управления, является слишком обобщенной. Это приводит к тому, что связь заслоняется более сложными явлениями (взаимодействие, строение, функционирование и т. п.).
В. В. Дружинин и Д. С. Конторов [10, с. 84-99] делят связи на прямые и обратные. При этом прямые связи бывают усиливающие (ослабляющие) сигнал, ограничивающие, запаздывающие и селектирующие (осуществляющие отбор), а обратные делятся: на положительные (усиливающие исходный процесс) и отрицательные (ослабляющие исходный сигнал); на гладкие (действуют во всем диапазоне изменений выходного процесса) и пороговые (действуют, когда процесс превышает некоторое значение, называемое нижним порогом и не превышает некоторое значение, выступающее как верхний порог); на двусторонние, реагирующие на увеличение и на уменьшение; связи первого, второго и старшего порядка; на связи мгновенные, запаздывающие и опережающие.
Связи представляют собой довольно сложное явление, они столь многоплановы, что требует осмысления с позиции нескольких подходов. По нашему мнению, связи между элементами системы нужно рассматривать с точки зрения четырех подходов:
Каждый из этих подходов сам по себе имеет ограниченные возможности для объяснения связей. Здесь требуется использование их в единстве как взаимодополняющих подходов (табл. 10).
| Связи | Изображение |
|---|---|
| Ненаправленная непрерывная | |
| Направленная непрерывная | |
| Прерывистая, дискретная | |
| Двусторонняя | |
| Внутренние | ![]() |
| Равноправные | |
| Неравноправные | |
| Входные и выходные | |
| Односторонние внешние связи | ![]() |
Таблица 10 — Разновидности связей в системах (формальный подход)
При формальном подходе связи делятся на такие разновидности, как ненаправленные, направленные, прерывистые, односторонние, двусторонние, равноправные и неравноправные, внутренние и внешние. Кроме того, они различаются продолжительностью (долговременные и кратковременные), а также частотой (частые и редкие).
При функциональном подходе связи рассматриваются с точки зрения выполняемой ими функции. При этом выделим два вида: нейтральные, при которых действие и противодействие равны по величине, изменений не происходит (поэтому эти связи называют нейтральными или статическими [16, с. 303]); функциональные, характеризующиеся тем, что действие и противодействие не совпадают, и элемент начинает реализовывать в системе некоторую функцию.
В свою очередь функциональные можно представить как связи:
Кроме того, под функциональный подход подпадают прямые и обратные связи, каждая из которых выполняет свое назначение. Обратная связь информирует вход системы о состоянии ее выхода, а прямая — связывает один элемент с другим. Обратным связям принадлежит исключительно важная роль в управлении, поскольку они несут для субъекта управления необходимую ему информацию об объекте управления.
При логическом подходе связи делятся в соответствии с основными типами детерминации: причинно-следственные — одно явление порождает другое. Причинная связь выступает как необходимая связь между явлениями А и В, где А — причина, а В — следствие (при этом под причиной чаще всего понимается совокупность необходимых и достаточных условий осуществления события); корреляционные — изменение одного явления приводит к изменению другого, а это другое меняет, приводит к изменению первого; состояний — из одного состояния системы вытекает другое, а отношение порождения отсутствует.
При содержательном подходе связи подразделяются на: энергетические — процессы передачи энергии между элементами системы; материально-вещественные — характеризуются материально-вещественными преобразованиями; информационные — представляют собой информационные потоки.
Связи выступают важнейшей системной характеристикой. Можно с уверенностью утверждать, чем большим числом связей характеризуется система, тем она сложнее, тем больше возможностей для ее высокой организации.
Максимальное количество связей в системе определяется числом возможных сочетаний между элементами и может быть найдено по формуле
C = n⋅(n − 1)
где n — количество элементов, входящих в систему; C — количество связей между ними.
Если система состоит из пяти элементов, то максимальное количество связей для нее равно 20. Эта формула верна только для тех систем, у которых между двумя элементами допустима одна связь.
Структура системы (лат. structura — строение, порядок связи) — это совокупность устойчивых связей между элементами системы, которые обеспечивают целостность системы и тождественность самой себе. Структура оказывается намного богаче состава, ибо состав отвечает на вопрос «Из чего состоит система?», а структура обеспечивает ответ на более сложный вопрос: «Как устроена система?». Один из основоположников исследования структур В. И. Свидерский писал: «Под понятием структуры мы будем понимать принцип, способ, закон связи элементов целого, систему отношений элементов в рамках данного целого» [38, с. 135], т.е. термин «структура» является более богатым по сравнению с термином «состав». Он обладает способностью не только фиксировать свойства системы, но и объяснять их определенным строением системы. Система становится системой только тогда, когда ее элементы, имеющие определенную пространственную, временную и целевую организацию, определенным образом взаимосвязываются один с другим.
Структура системы объясняет процессы, которые представляют собой развертывание элементов системы во времени. Кроме того, временная структура позволяет понять процессы развития системы, ее движение от прошлого к настоящему и к будущему.
Хотя время однонаправленно от прошлого к будущему, соотношение элементов прошлого, настоящего и будущего в системах одной и той же природы может быть различным. В силу действия разных причин (факторов, условий и т.д.) одни элементы системы могут как бы задерживаться в прошлом, другие — элементы настоящего, а третьи символизируют будущее.
Структуры можно классифицировать по разным основаниям (табл. 11): сферам существования — материальные и мысленные; выполняемой роли — нормативная, идеальная, целевая, реальная; размещению — внутренняя и внешняя; направленности — субстанциальные и функциональные; разнообразию — простые и сложные; характеру связи — порядковые, композиционные, топологические; типу связей — прямые, обратные, смешанные; устойчивости структуры — детерминированные, вероятностные, хаотические; композиции структуры — координационные, иерархические, смешанные; степени равноправия элементов — структуры с равноправными элементами и структуры с неравноправными элементами; степени открытости — открытие и закрытые; временной детерминации — прошлые, настоящие, будущие; степени изменчивости — статические и динамические.
| Основание классификации | Структура | |
|---|---|---|
| Вид | Характеристика | |
| Сферы существования | Материальная | Представляет собой материальное образование |
| Мысленная | Выступает как мысленное образование | |
| Выполняемая роль | Нормативная | Выступает в виде норматива |
| Идеальная (оптимальная) | Выступает в виде (оптимума) идеала | |
| Целевая | Представляется целью деятельности | |
| Реальная | Та, которая есть на самом деле | |
| Размещение | Внутренняя | Образуется внутренними связями системы |
| Внешняя | Образуется внешними связями системы | |
| Направленность | Субстанциональная | Совокупность связей, определяющих внутреннее единство системы |
| Функциональная | Совокупность взаимоотношений, определяющих функционирование элементов | |
| Разнообразие | Простая | Отличается небольшим числом связей |
| Сложная | Характеризуется большим числом связей | |
| Вид связей | Порядковая | Определяет порядок элементов |
| Композиционная | Определяет взаимодействие элементов | |
| Топологическая | Определяет размещение элементов | |
| Характер связей | С прямыми связями | Воздействие одного элемента на другой |
| С обратными связями | Обратные воздействия элементов | |
| Со смешанными связями | Смешанные связи | |
| Устойчивость структуры | Детерминированная | Устойчивая структура |
| Вероятностная | Устойчивая с определенным уровнем вероятности | |
| Хаотическая (диссипативная) | Неустойчивая структура | |
| Композиция структуры | Координационная | Связи равноправных партнеров |
| Иерархическая | Связи соподчиненных элементов | |
| Смешанная | Наличие тех и других связей | |
| Равноправие элементов | С равноправными элементами | Элементы равноправны, обладают одинаковым статусом |
| С неравноправными элементами | Элементы неравноправны, обладают различным статусом | |
| Открытость | Открытая | Элементы имеют внешние к системе связи |
| Закрытая | Элементы связаны только один с другим | |
| Временная детерминация | Прошлая | Связи и элементы из прошлого |
| Настоящая | Связи и элементы настоящего | |
| Будущая | Элементы и связи будущего | |
| Степень изменчивости | Статическая | Постоянная структура |
| Динамическая | Переменная структура | |
Таблица 11 — Классификация структур систем
Любая структура описывается следующими основными характеристиками:
В практике управления структуры выполняют весьма многообразные роли. Они могут выступать в виде некоторой нормативной системы, которая используется для приведения в соответствие с ними других систем, как некоторый идеал деятельности, а также строиться под поставленные цели и задачи деятельности.
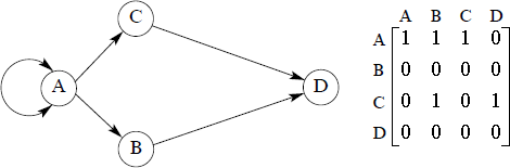
Для практической деятельности особенно важны две проблемы: описание и оптимизация структур. Для описания структур применяется теория графов. Граф — графическая модель структуры, которая состоит из множества вершин и ребер (дуг), символизирующих элементы и их связи. Граф определяется: множеством вершин графа и множеством пар вершин, между которыми существует связь. Теория графов — это область дискретной математики, занимающаяся исследованием и решением разнообразных проблем, связанных с графами. Для графа свойственно то, что число путей, по которым можно пройти от одной вершины к другой, отличается разнообразием. При этом наблюдаются различия в длительности этих путей. На идее сокращения пути прохождения между крайними вершинами графа строится оптимизация структур.
Граф имеет две формы представления: графическую и матричную (рис. 9). При этом матрица графа называется матрицей инциденций.

Рис. 9 — Граф и матрица инциденций
В матрице наличие связи фиксируется единицей, а ее отсутствие — нулем.
Важной структурной характеристикой системы является ее устойчивость. Она сложна и противоречива. С одной стороны, устойчивость определяет способность структуры противостоять внешним воздействиям, т.е. это характеристика жизнеспособности системы. С другой стороны, наиболее устойчивые структуры свойственны для детерминистских систем, которые отличаются примитивностью. Современное представление о структурах широко использует такое понятие, как «хаотические, или диссипативные структуры», позволяющие объяснять переходные состояния системы.
| ↑ | Оглавление | ||
| ← | Вопросы и задания для самоконтроля | «Проблема организации системы» | → |
© Виктор Сафронов, 2006–2017
Пользовательское соглашение | RSS | Поддержать проект | Благодарности